Аэродинамический усилитель крутящего момента вертолетного движителя

На данном фото видны сопла на концах лопастей пропеллера первого и на сегодняшний день единственного, серийно выпускавшегося французского вертолета SO-1221 Djinn., которые и создавали крутящий момент во время полета этого вертолета.
Существующие аналоги

Вертолет с воздушным приводом лопастей несущего винта французской фирмы Societe Nationale de Constructions Aeronautiques du Sud-Ouest — SO-1221 Djinn.
Единственный серийно производившийся вертолёт с реактивным приводом несущего винта. Турбокомпрессор его подавал сжатый воздух в лопасти винта и по воздуховодам он доходил до реактивных сопел на концах лопастей, которые и раскручивали винт.
Межконтинентальная крылатая ракета глобальной дальности 9М730

В «Буревестнике» используется прямоточная газовая турбина открытого типа. Это значит, что в соплах происходит нагревание воздуха ядерным реактором и за счёт адиабатического расширения нагретого воздуха в конфузорах Лаваля тепловыделяющие элементы, результате чего и появляется реактивная движущая сила.
Существующие недостатки квадрокоптеров
Самый большой минус квадрокоптеров (далее БПЛА) — короткое время полета. Применение АКБ увеличенной ёмкости не только снижает полезную нагрузку БПЛА из – за большого веса АКБ, но и снижает самое главное достоинство БПЛА – его дешевизну при производстве, обслуживании и эксплуатации. Применение ДВС приводит не только к удорожанию конструкции, но и усложняет производство, обслуживание, эксплуатацию БПЛА с ДВС и предъявляет повышенные требования к квалификации обслуживающего персонала.
Пути решения проблемы
Предлагается использовать в качестве усилителя крутящего момента на валу лопастного движителя роторное, инерционное устройство в сочетании с установленным перед воздухозаборником этого устройства — ротором Дарье, ускоряющий поток набегающего воздуха, что в сочетании с центробежным ускорением воздуха из окружающей среды, плюс разгоняемого нагревом от тепло-выделительных элементов (далее ТВЭЛ) в диффузорах сопел Лаваля, позволяет увеличивать время полета БПЛА почти в 2 раза, или экономить расход топлива для БПЛА с ДВС за счет снижения лобового сопротивления пропеллеров и увеличения мощности на валу лопастей. Патент RU 232 240 U1, RU 239 569 U1.
Усилитель крутящего момента на валу лопастного движителя БПЛА

Устройство в таком исполнении изготавливается из дюралюминия и состоит из корпуса 10, внутри которого монтируются два ротора, закрепленных на подшипниках качения 8 с угловыми шестернями 9 на концах осей 3, позволяющими не только передавать вращение от ведомого вала 12, с помощью закрепленной на нём шестерни 9 и вращаться на подшипниках качения 11, но и распределять это вращение таким образом, чтобы пропеллеры 1 на противоположных концах разных осей 3 вращались в разные стороны. Два одинаковых ротора, расположенных в корпусе 10 вдоль одной оси, вращения, состоят из нескольких одинаковых, но выполненных симметрично деталей: — ось 3 с закрепленным на ней пропеллером 1 и выполненным внутри этой оси воздуховодом 2 с воздухозаборником 5, выполненным внутри ротора Дарье 4 и соединенным с воздуховодом 2 , соединяющим сопла Лаваля 6 с ротором Дарье, поперечины которого имеют в разрезе форму крыла самолета, закрепленные между двумя алюминиевыми дисками неразъемными соединениями с углом атаки α = 7-9 град и выполненные на оси вращения пропеллеров 1.

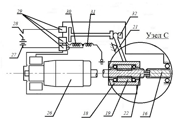
Предложенная мной полезная модель приводится в действие и разгоняется до заданных параметров электродвигателем 26 с помощью разгонной муфты 18 с приводной шестеренкой 19, которые работают по принципу обычного стартера, как показано на рисунке. Для начала разгона замыкается выключатель 28.
После чего напряжение с АКБ 27 подается на втягивающее реле 31, а затем на удерживающее реле 30 через приборы контроля 29, благодаря чему якорь 32, втягиваясь в реле, перемещает вперед рычаг привода 21 разгонной муфты 18, которая движется по специально подготовленному для неё отверстию 23 овальной формы, в корпусе 14. Внутри разгонной муфты 18 на подшипниках 20 закреплена приводная шестеренка 19, которая своими шлицами входит в зацепление со шлицами ведомого вала 16 и фиксирует шлицевые соединения ведущего 22 и ведомого 16 валов. После достижения заданного числа оборотов втягивающее реле отключается, шестеренка 19 возвращается в исходное положение.
И роторный усилитель крутящего момента авиадвижителя переходит на самовращение. В этом случае не прекращается подача электроэнергии от постороннего источника (АКБ или генератор) по двум проводам 17, + и – через токосъемники на токо- приёмные кольца 26 на валу 2 и далее до тепловыделяющих элементов 25, представляющие собой два или три витка нихромовой проволоки в керамической оболочке. В случае снижения числа оборотов ниже заданных, втягивающее реле 31 срабатывает вновь, разгоняя ротор усилителя в автоматическом режиме.
В предложенном проекте техническая задача решается тем, что в самом узком месте сопел Лаваля установлены тепловыделяющие элементы, нагреваемые электроэнергией, поступающей от постороннего источника (генератора, или аккумулятора), а в качестве рабочего тела используется воздух из окружающей среды, который ускоряется под действием нагрева тепловыделяющими элементами в диффузорах сопел Лаваля.

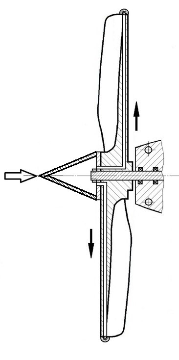
Давайте вспомним одно повседневное, но очень интересное явление
Прежде чем перейти к описанию методики расчета, хочу напомнить одну интересную ситуацию, которая происходит с каждым человеком, который утром (а иногда и не только утром) пьёт чай… Ну или кофе… Но перед этим размешивает сахар в стакане ложечкой. Примерно вот так, как на фото ниже:

Скорей всего все видели воронку, которая образуется на поверхности напитка, но мало кто задумывался почему жидкость возле стенок стакана (или кружки) вдруг начинает подниматься и лезет вверх на стенки… А в центре стакана поверхность воды начинает опускаться… Раз жидкость поднимается, значит растет её внутренняя энергия, которая характеризуется давлением. Но откуда взялось это давление в отдельно взятом стакане, причем только вдоль стенок?
Теоретические основы работы усилителя крутящего момента на валу лопастного движителя БПЛА
И для этого рассмотрим графическое распределение нагрузок во вращающемся открытом сосуде высотой Zn, наполненного. на высоту Zo, на чертеже ниже:.

Рассмотрим вращение жидкости в незаполненном цилиндре, а в полученную формулу подставим значения плотности воздуха. На рисунках хорошо видно распределение нагрузок и инерционных сил в цилиндре высотой Zп, заполненном жидкостью на высоту Z0, вращающемся вокруг своей оси с угловой скоростью ώ. На жидкость будут действовать силы атмосферного давления, момент сил инерции кругового движения, а на дно цилиндра ещё и вес этой жидкости. При вращении сосуда вокруг вертикальной оси с угловой скоростью ώ на каждую частицу жидкости массой т, кроме силы тяжести g, действует инерционная сила (центробежная) f=т ώ2r, Н/м; ( 1 )
Где:
f – центробежная сила, Н/м;
т – масса элементарного объема, выбранного для проведения расчетов, кг;
ώ – угловая скорость, с-1;
r – расстояние до центра вращения, м.
Вот под действием этой центробежной силы свободная поверхность искривляется – в центре жидкость опускается, а у стенок поднимается. Свободная поверхность принимает форму параболоида вращения, описываемую уравнением ( 2 ):

Где:
Z – высота динамического подъема жидкости, в зависимости от радиуса вращения и максимальной она будет непосредственно у стенки вращающегося сосуда, м;
Z0 – первоначальная высота налива жидкости в цилиндре, м;
r – расстояние до центра вращения, м;
ώ – угловая скорость, с-1.
Из данной формулы видно, что от плотности рабочей жидкости не зависит на какую высоту поднимется у стенок цилиндра параболоид верхнего зеркала жидкости, а зависит только от величины угловой скорости и радиуса вращения.
Подставляя значения, определенные по уравнению (1) в дифференциальное уравнение неразрывности потока жидкости Бернулли и интегрируя его с учетом того, что при больших угловых скоростях атмосферное давление — Pатм в цилиндре ротора не существенно влияет на величину получаемого давления, мы можем пренебречь его значением и для практического применения получим уравнение, с помощью которого можно определить давление рабочей среды в любой точке вращающегося сосуда:

Где:
Рм – давление жидкости, Па;
ρ – плотность жидкости, кг/м3;
g – ускорение свободного падения, м/с2;
ώ – угловая скорость единицы объема,с-1;
r – радиус вращения рассматриваемой единицы объема, м;
z – высота столба жидкости в роторе, м.
В центре цилиндра уровень жидкости понижается на величину:
Р0 = V2/2g, м; ( 4 )
Давление на днище цилиндра Рст на оси вращения не зависит от скорости вращения цилиндра, соответствует гидростатическому и зависит только от высоты столба жидкости.
Проведя анализ формулы (3), мы видим, что давление среды, используемой в качестве рабочей в цилиндре ротора, при его вращении возрастает по мере удаления от центра вращения. Причем – если радиус вращения единицы объема увеличится в 10 раз, потенциальная энергия её возрастает примерно в 50 раз при той – же скорости вращения.
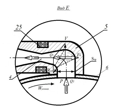
Это видно на Фиг. 4 — эпюры давлений на крышку, стенку и дно герметичного, вращающегося, полностью заполненного жидкостью цилиндра ротора. В центре вращающегося цилиндра ротора возникает разрежение, которое поможет циркуляции рабочей жидкости внутри полезной модели, если жидкость из цилиндра будет выходить через специальные форсунки. Поэтому входные окна с крыльчаткой подпорного вентилятора располагаются в максимальном приближении к центру вращения цилиндра. Однако, из анализа формулы ( 3 ) мы видим, что именно плотность используемого в качестве рабочего тела продукта имеет существенное значение для получения эффективного момента силы.


Учитывая то, что плотность окружающего воздуха составляет примерно 1,2 кг/куб. м., чтобы получить существенную величину давления воздуха на выходе из цилиндра ротора – на входе в форсунки, необходима большая угловая скорость вращения цилиндра ротора. При вращении цилиндра ротора с угловой скоростью ώугловая в направлении, как показано на рисунке , единица рабочей среды (воздуха) на входе в форсунку имеет давление Р, согласно формулы (3). Зная давление рабочей среды (воздуха) на входе в форсунку, можно рассчитать реактивную силу R, действующую на внутреннюю стенку, при повороте канала на 900 в форсунке, в объеме, обозначенном на рис. между двумя штриховыми линиями, по формуле ( 5 ):

Где:
R – реакция стенки канала на изгибе, Н/м;
P – давление рабочей среды (воздуха), мПа;
π – постоянная, равная 3,14;
d –диаметр канала форсунки, м;
α – угол поворота канала форсунки;
Методика расчета ротора Дарье

Эффективность работы ротора Дарье характеризуется его способностью увеличивать скорость ветрового потока, этот коэффициент задается отношением полезной мощности ротора N к мощности потока Nf в поперечном сечении ротора:

Где:
ρ — плотность среды, кг/м3;
S — площадь поперечного сечения ротора, м2;
V — скорость ветрового потока, м/с;
ω – угловая скорость вращения ротора.


Степень повышения давления внутри ротора Дарье F, удобно определять через безразмерный коэффициент момента
Cm = CN/Z,
Где:
CN – коэффициент использования энергии ветрового потока;
Z = ωR/V;
Где:
Z – безразмерный коэффициент быстроходности ротора;
R – радиус вращения, м; ω – угловая частота вращения ротора;
V – скорость ветрового потока.
V = √2gРп;
Qмрв = 0,67d2Pп Оптимальные геометрические размеры находим по формулам; общая площадь ротора – S = nrDl, хорда крыла – λ = l/b, коэфициент заполнения σ = nbb/D.
Зная, какой нужно получить массовый расход и давление воздуха на входе в каналы сопла Лаваля, можно приблизительно рассчитать геометрические размеры ротора Дарье, расположенного вокруг заборных окон оси ротора. Зная динамическое давление Р, которое должен создавать указанный вентилятор, можем рассчитать площадь входного отверстия вентилятора на оси ротора, используя для решения формулу ( 11 ) и решив её как дифференциальное уравнение:

Где:
Q – объёмный расход воздуха, м3/сек;
ρ – плотность воздуха, кг/м3 ;
S – площадь входного отверстия вентилятора на оси ротора с крыльчаткой ротора Дарье с наружи, м2.
Также можно найти скорость воздушного потока V на выходе, по формуле ( 12 )

Где:
Q – объёмный расход воздуха, м3/сек;
S – площадь поперечного сечения ротора Дарье по наружному диаметру, м2.
Теоретические основы работы Сопла Лаваля

По мере движения воздуха по соплу, его температура и давление снижаются за счет адиабатического расширения в канале форсунки после диффузора, а скорость истечения воздуха (в самом узком сечении канала сопла) возрастает, за счет чего внутренняя энергия воздуха преобразуется в кинетическую энергию движущегося воздуха. И если мы подведем дополнительное тепло с помощью тепловыделяющего элемента ( см. фиг. 9) к сужающейся части сопла Лаваля, то расширяющийся газ даст дополнительную энергию форсунке, а значит и всему ротору. И тогда в наименьшем по размеру сечении внутреннего канала форсунки, между сужающейся и расширяющейся частью сопла Лаваля происходит переход от дозвукового течения воздуха к сверхзвуковому. При этом параметры потока, также как и само сечение называют «критическим».
Массовый расход воздуха m, в канале, определяется по формуле ( 6 ):
m = ρVS, кг/с;
Где:
ρ – плотность воздуха, кг/м3;
V – скорость потока воздуха в канале сопла, м/с;
S – площадь сечения канала, м2 ;
Исходя из того, что массовый расход воздуха m постоянен во всех сечениях сопла Лаваля, определяем геометрические размеры самого узкого сечения канала, называемого «критическим», по формуле ( 7 ); — квадратные метры;

Где:
S* – площадь «критического» сечения канала, м2;
m – массовый расход воздуха в канале, кг/с;
T0 – температура торможения газа в сопле из-за аэродинамического сопротивления сужающейся сечения канала (определяется опытным путем и при нормальных условиях равен 1120 К), К;
B – коэффициент сжимаемости воздуха. Показывает величину изменения давления воздуха при изменении температуры и скорости истечения. При нормальных условиях равен 0,04041с× K0,5/м;
ρ0 – полное давление в самом узком сечении канала сопла Лаваля, Па.
Теперь диаметр самого узкого сечения канала сопла Лаваля, которое называют «критическим», найдем по формуле (8): в м.

Где:
S* – площадь «критического» сечения канала, м2;
π – математическая постоянная.
Определив скорость истечения потока из выходного сечения канала и зная массовый расход воздуха в этом канале сопла Лаваля, можно определить момент силы тяги в нем. Для этого воспользуемся формулой Циолковского (9):

Где:
F – момент силы тяги сопла Лаваля, Н;
Vв – скорость течения воздуха по каналу сопла, м/с;
mв – масса воздуха, протекающая по каналу сопла в единицу времени, кг/с;
t – время, сек.

План коммерциализации
Расход топлива в структуре издержек любого авиаперевозчика занимает лидирующее положение, поэтому гарантированное снижение расхода топлива на 50% привлечет потенциальных клиентов. На сегодня в стране и за рубежом нет ни одного производителя подобных авиационных движителей.
Ключевые партнеры:
- Государственные авиапредприятия, частные производители легкомоторных ЛА и БПЛА.
Ключевые виды деятельности:
- НИ и ОКР по разработке авиадвижителей по запросам заказчика;
- Продажа лицензий;
- Производство авиадвижителей;
- Инжиниринг, сопровождение производства.
Ключевые ресурсы – интеллектуальная собственность
Структура издержек – расходы на ключевые виды деятельности
Способы коммерциализации:
- Прямые продажи продукта, оборудования и технологий;
- Продажи лицензий на их производство, обучение персонала;
- Инжиниринг, консалдинг, сопровождение и авторский надзор производства;
- НИ и ОКР по запросам заказчиков.
